TPX 是所有已知聚合物中最轻的。它对紫外,可见和THZ波段是透明的。当然也就是可以用He-Ne激光器来进行准直。该聚合物折射率约为1.46,和波长关系不大:
λ, µm | n |
0.633 | 1.463 |
24 | 1.4568 |
60 | 1.4559 |
300 | 1.46 |
667 | 1.46 |
1000 | 1.4650 |
3191 | 1.466 |
TPX对mm波的传输损耗非常低。它有非常优良的热阻,并且能抗一些商用的化学品的腐蚀。

Fig. 7 Transmission of TPX 2 mm-thick sample. THz region.

Fig. 8 Transmission of TPX 2 mm-thick sample. NIR&MIR regions.

Fig. 9 Transmission of TPX 2 mm-thick sample. UV&VIS&NIR ranges.
TPX的主要参数:
密度, g/cm3 | 0.83 |
拉伸强度 | 4100 psi ~28.3 MPa |
拉伸模量 | 280000 psi ~1930.5 MPa |
拉伸伸长率, % | 10 |
弯曲强度 | 6100 psi ~42.1 MPa |
弯曲模量 | 210000 psi ~1447.8 MPa |
热变形温度, °C | 100 |
融化温度, °F/°C | 464/240 |
吸水率 (ASTM-D 1228), % | <0.01 |
透湿性 (thk 25 µm, 40C, 90%RH), g/m2*24h | 110 |
透气性y (thk 100 µm), cm3/m2*d*MPa | 120000 |
| 断裂模量 | 6000 psi~42.1 MPa |
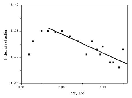
TPX是很硬的固体材料,可以用来加工成不同的光学元件,如透镜和窗口镜。而且通常TPX还可用在CO2激光泵浦分子激光的系统中作为输出窗口镜。因为它对整个THZ波段都是透明的,并且可以反射10微米的泵浦光。TPX窗口镜还可以在低温保持器中作为“冷”窗口。因为TPX在THz波段的透明度和温度无关,折射率的温度系数3.0*10-4 K-1 (for the range 8-120 K)。

Fig. 10 Temperature dependence of refractive index.(***)
和其他用在THz波段的材料比较,TPX的特性更好,例如它是Picarin (Tsurupica)透镜很好的替代品。另外,屹持光电提供的TPX更便宜,而且比Picarin更容易获得。

Fig. 11 Transmittance of 2 mm thick samples of TPX, PICARIN, HDPE and COC.
在真空应用中,TPX 窗口可使用低至 10-9mm Hg.